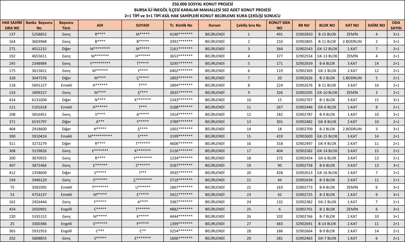
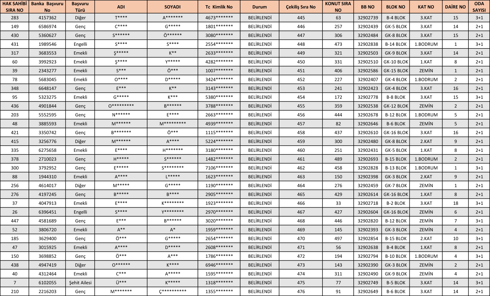
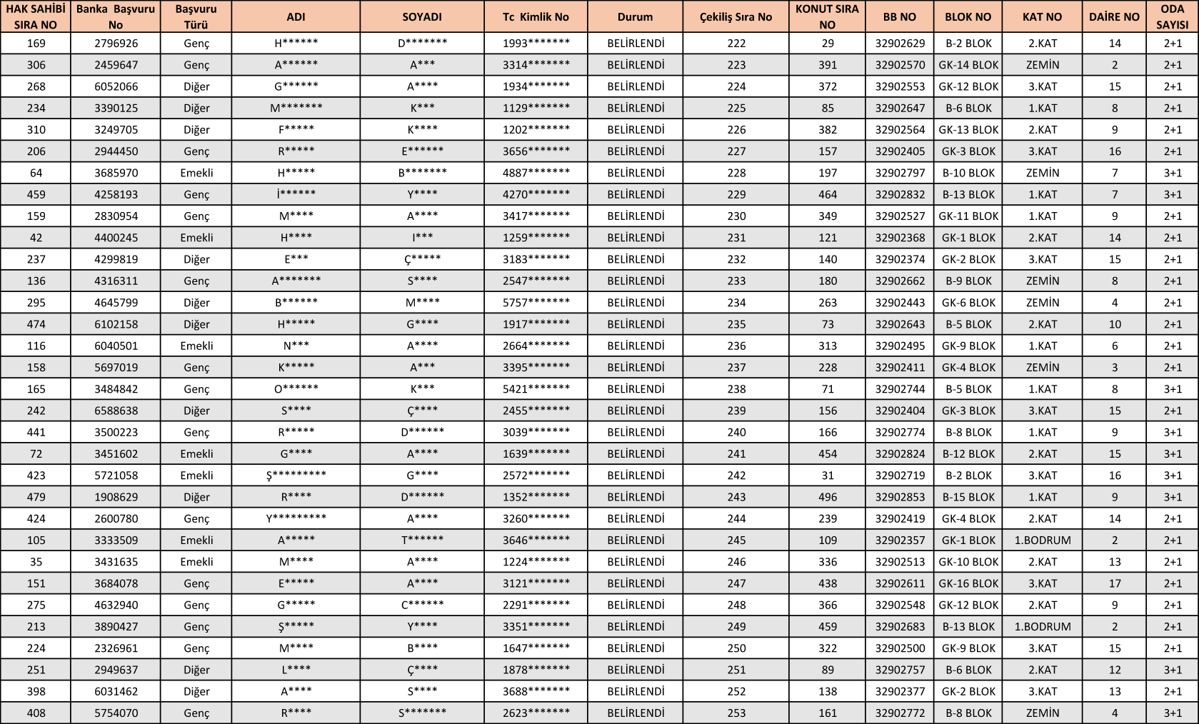
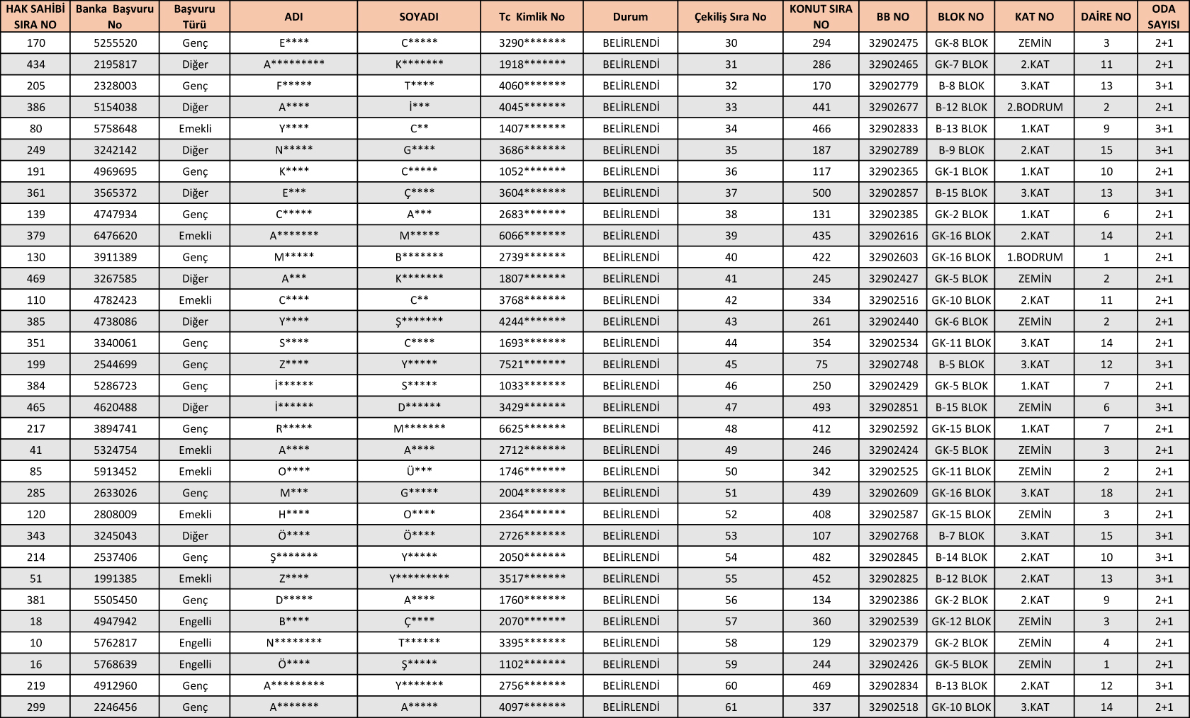
T.C. Çevre, Şehircilik ve İklim Değişikliği Bakanlığı Toplu Konut İdaresi Başkanlığı(TOKİ) tarafından 250.000 Sosyal Konut Projesi kapsamında başvuru toplanan Bursa İli İnegöl İlçesi Karalar Mahallesi 502 Adet Konut Projesi’nde inşa ettirilen; 2+1 nitelikli 342 adet ve 3+1 nitelikli 160 adet olmak üzere toplam 502 adet konut için Konut Belirleme Kurası gerçekleştirildi.
TOKİ idaresi YouTube hesabından canlı yayın ile yapıla konut belirleme kurasından sonra Gayrimenkul Satış Sözleşmesi hak sahipleri tarafından 11 Ağustos 2025 – 8 Eylül 2025 tarihleri arasında, zamanında sözleşme imzalayamayanlar ise, 9 Eylül – 12 Eylül 2025 tarihinde, web sayfasında yayınlanan program çerçevesinde Halk Bankası A.Ş. 279-Bursa İnegöl Şubesi’nde imzalatılacak.
Hak sahiplerine konutlar, başvuru bedeli düşüldükten sonra kalan tutar; %10 peşinat bedeli için 240 ay vade ile taksitlendirilecek olup, peşinat sözleşme imzalama aşamasında tahsil edilecektir.
Hak sahiplerinin konutlarına ait kalan borç bakiyesi ve aylık taksitler her yılın Ocak ve Temmuz aylarında olmak üzere yılda iki kez, bir önceki 6 aylık dönemdeki memur Memur Maaş Artış(MMA) Oranı’na göre artırılacaktır.
Taksit ödemeleri, sözleşme tarihini takip eden ay itibariyle başlatılacaktır.
İlk dönemsel artış tarihi, Ocak 2026 tarihinden itibaren başlatılacaktır.
Şehit Aileleri, Harp ve Vazife Malulleri ile bunların Dul ve Yetimlerinde; Konutlar %10 peşin 240 ay vadeli sabit taksit ödemeli ve taksit başlangıçları teslim tarihini takip eden ay itibariyle başlayacak şekilde satılacaktır. Projenin bulunduğu İl sınırları içerisinde Başvuru dönemi itibariyle (Eylül/Ekim 2022) son 3 yıldır oturuyor olduklarına dair adrese dayalı nüfus kayıt sisteminden alacakları belge veya İl nüfusuna kayıtlı olduklarına ait belgeler istenecektir.
BANKADAN YAPILACAK İŞLEMLER
Konut belirleme kurası ile konutu belli olan Konut Hak Sahipleri 11 Ağustos 2025 – 12 Eylül 2025 tarihleri arasında T.Halkbankası A.Ş. Bursa İnegöl Şubesi’nde Gayrimenkul Satış Sözleşmesi imzalanabilecektir.
Sözleşme imzalama aşamasında aşağıdaki belgeler ibraz edilecektir. Başvuru dönemi itibariyle (Eylül/Ekim 2022) Bursa ili sınırları içinde son 1 yıldır oturuyor olduklarına dair adrese dayalı nüfus kayıt sisteminden alacakları belge veya il nüfusuna kayıtlı olduğunu gösterir belge,
Eylül veya Ekim 2022 ayı itibariyle; Hane halkı gelirinin en fazla net 16.000 TL olduğunu kanıtlayan gelir belgeleri,
Engelli Kategorisinden başvuru yapanlar; Kendisi veya 18 yaşından küçük engelli çocuğu için Engelli ve Yaşlı Hizmetleri Genel Müdürlüğü tarafından verilen kimlik kartının fotokopisi veya tam teşekküllü bir devlet hastanesinden alınmış sağlık heyet raporunu (en az %40 engelli olduğuna dair) “Belgeyi” Emekli Kategorisinden başvuru yapanlar; Sosyal Güvenlik Kurumundan alınan emekli kimlik belgesi veya emekli olduğunu gösteren “Belgeyi”. (Vefat eden emeklinin emekli olmayan eşi de sözleşme imzalayabilir. Vefat eden emeklinin aylık maaşını alan kızları sözleşme imzalamayacaktır.)
Şehit Aileleri, Harp ve Vazife Malulleri;
Konutlar %10 peşin 240 ay vadeli sabit taksit ödemeli ve taksit başlangıçları teslim tarihini takip eden ay itibariyle başlayacak şekilde satılacaktır. Sözleşme aşamasında Projenin bulunduğu İl sınırları içerisinde son 3 yıldır oturuyor olduklarına dair adrese dayalı nüfus kayıt sisteminden alacakları belge veya İl nüfus kütüğüne kayıtlı olduklarına ait belgeler istenecektir.
CAYMA HAKKI;
Konut alıcısı, konut satış sözleşmesinin imzalandığı tarihten itibaren on dört gün içerinde, herhangi bir gerekçe göstermeksizin ve cezai şart ödemeksizin satış sözleşmesinden cayma hakkına sahiptir. Yine, peşinat yatırarak satış sözleşmesi imzalayan hak sahipleri konutun fiili teslimden önce herhangi bir gerekçe göstermeden sözleşmeden dönme hakkına sahiptir.
DEVİR İŞLEMLERİ
Hak sahibi olup sözleşme imzalayanlar konutlarını Bankada devredemeyeceklerdir.
TESLİM
Konutlar 48 ay içerisinde teslim edilecektir.
Anahtar teslim tarihinde, 3065 sayılı KDV Kanunu kapsamında geçerli KDV oranı üzerinden tahakkuk edecek Katma Değer Vergisi tutarı taksitlerine yansıtılarak tahsil edilecektir.
Konut tesliminden sonra ALICI, Yönetim Planı ve KMK’da öngörülen ortak giderlerden bağımsız bölüme (GAYRİMENKUL) isabet eden miktarları, toplu yapı alanındaki ortak tesislere ilişkin giderleri ve blok aidatlarını anahtar tesliminin gerçekleştiği veya teslim ihbarında belirtilen sürenin içinde bulunduğu aydan geçerli olmak üzere her ay yapı/site yönetimine ödeyecektir. Alıcı bağımsız bölümü teslim almamış olsa dahi aidat ve ortak alan giderlerini ödemekle yükümlüdür.
İnternet sayfamızda yayımlanan planlar tanıtım amaçlıdır. Konutların brüt ve net m² büyüklükleri satış listelerinde gösterilmiştir. Brüt ve net m² hesabı yürürlükteki son İmar Yönetmeliğindeki kriterlere göre yapılmaktadır. Net m² hesabı sıva imalatının yerinde uygulama kalınlığına göre farklılık gösterebilir.
Gayrimenkul Satış İşlemleri Özel Hukuk Hükümlerine tabidir.
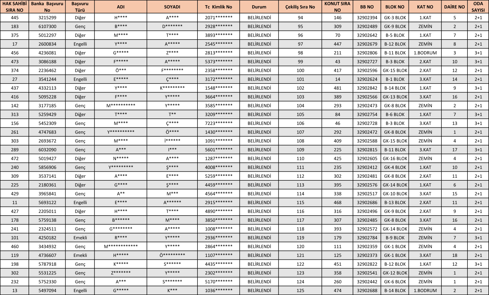
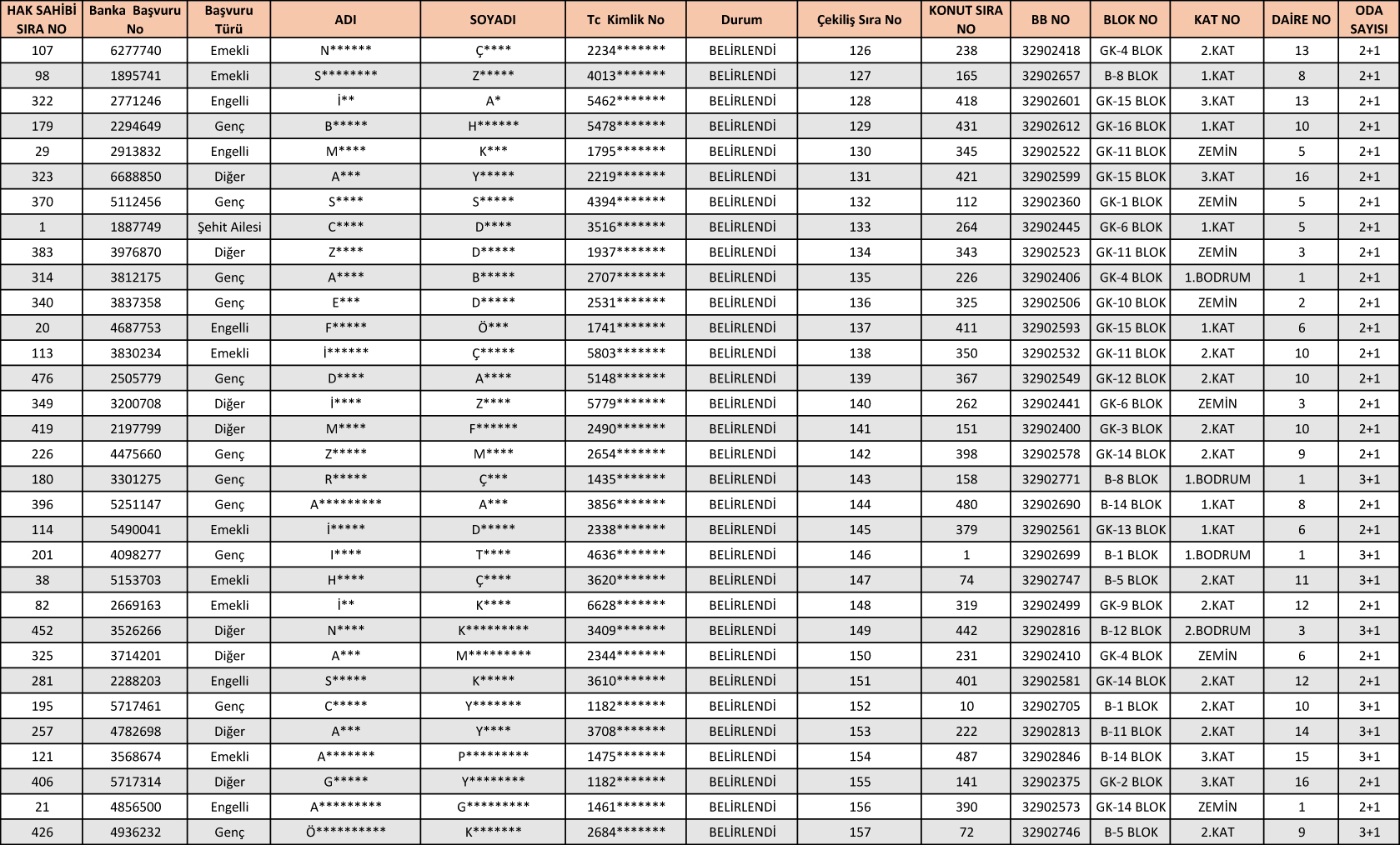
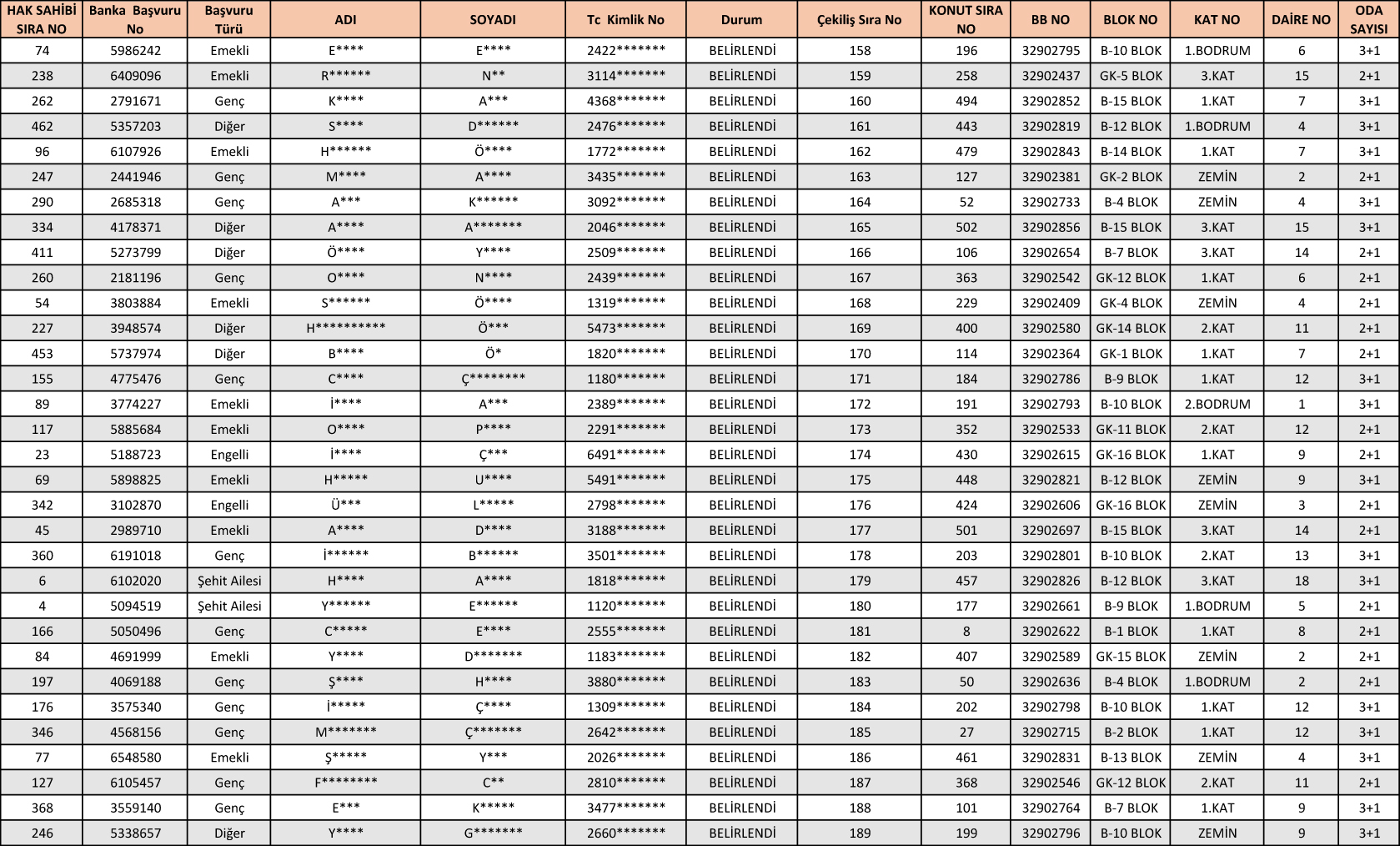
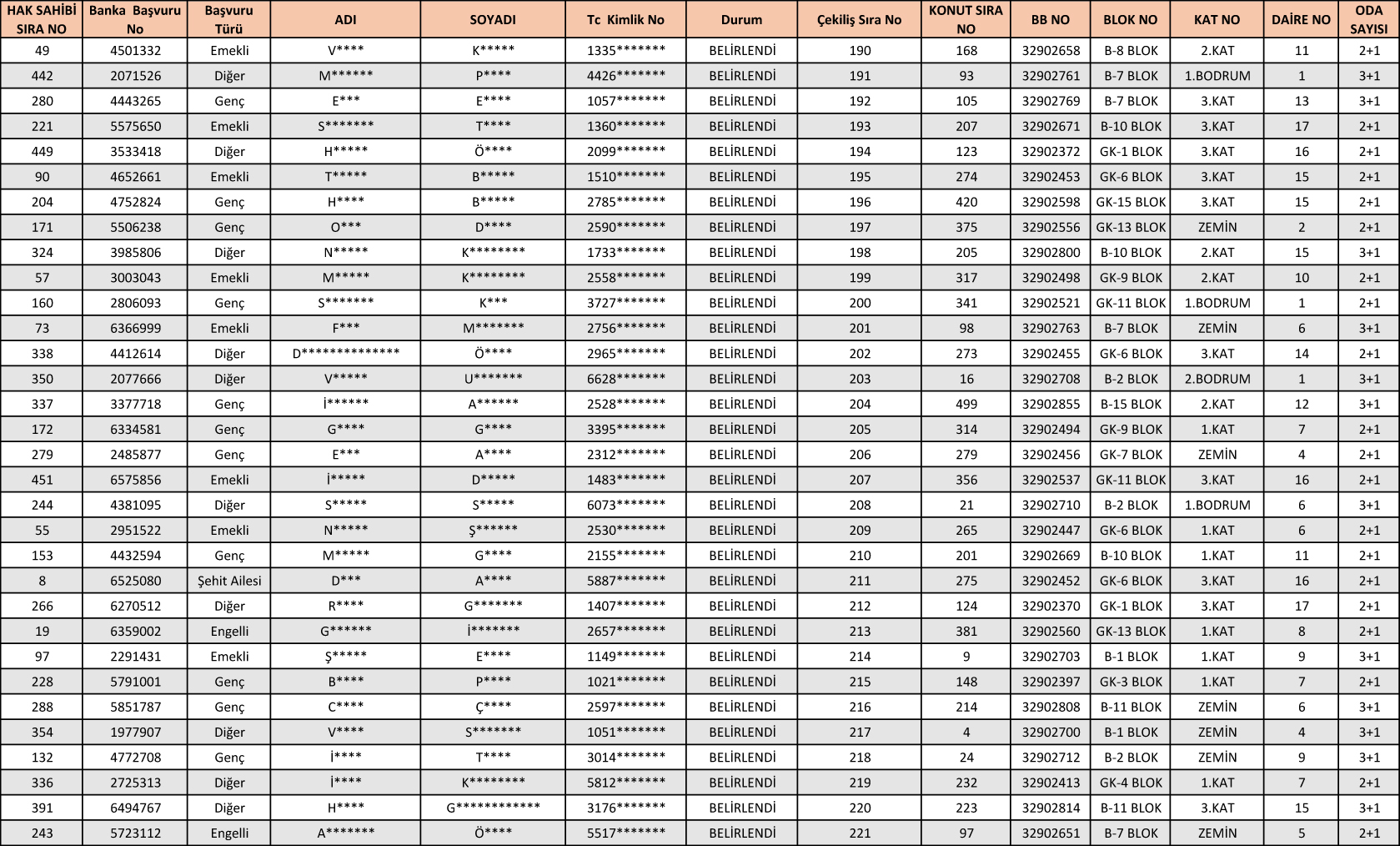
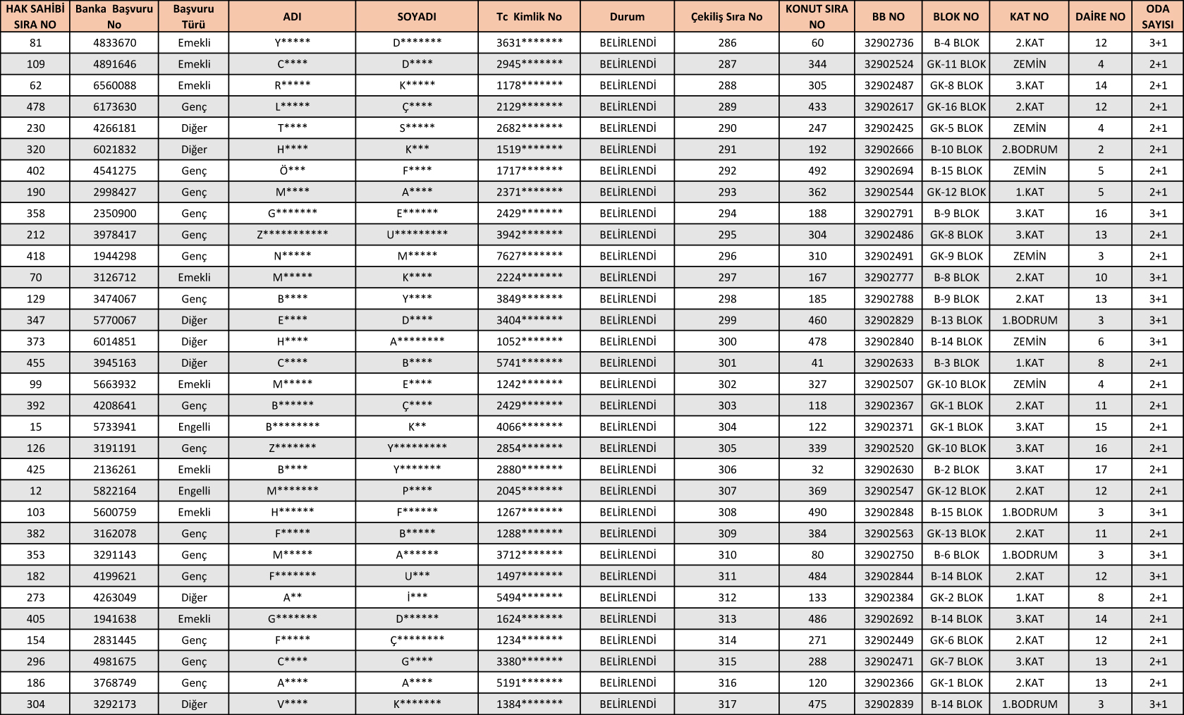
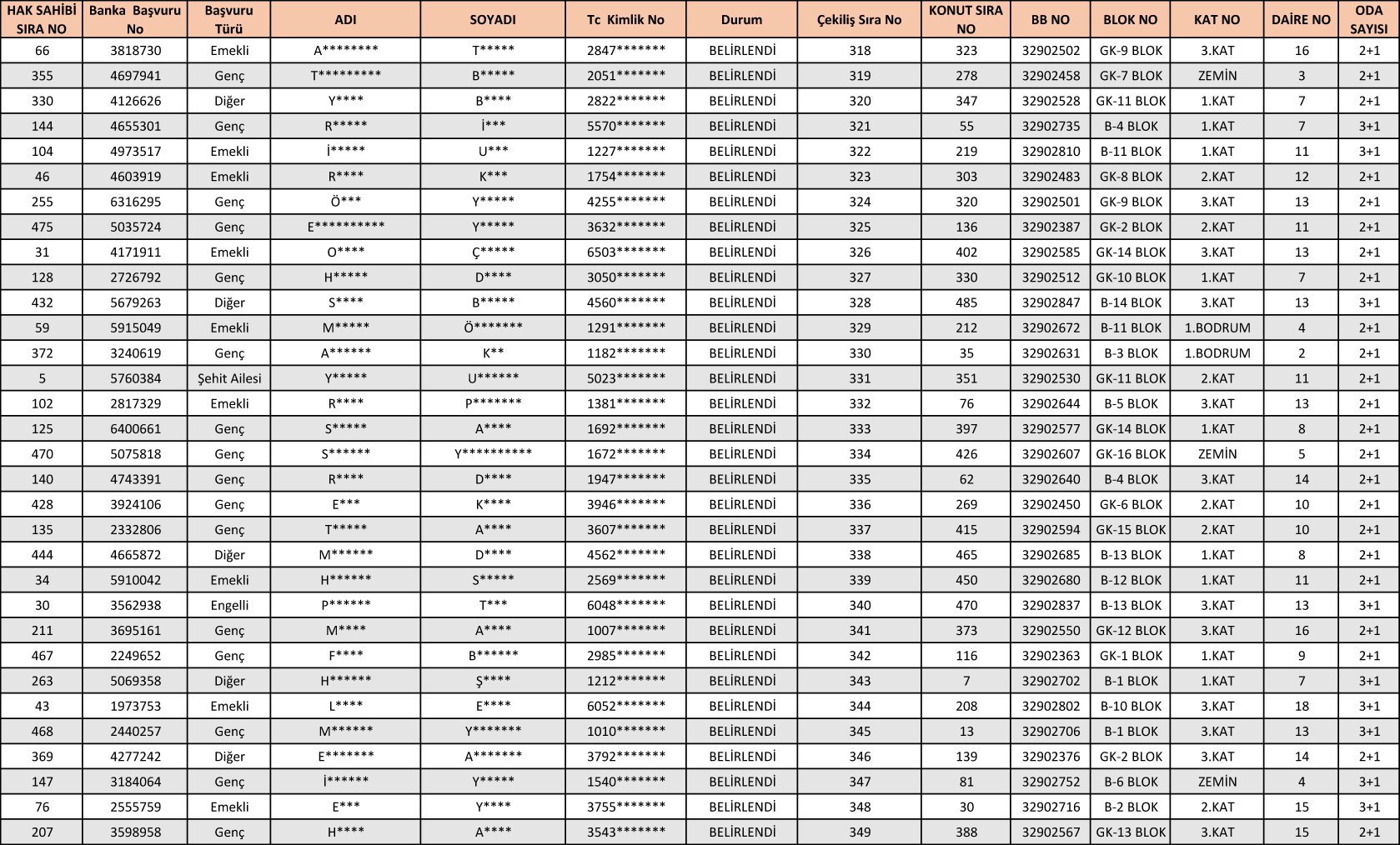
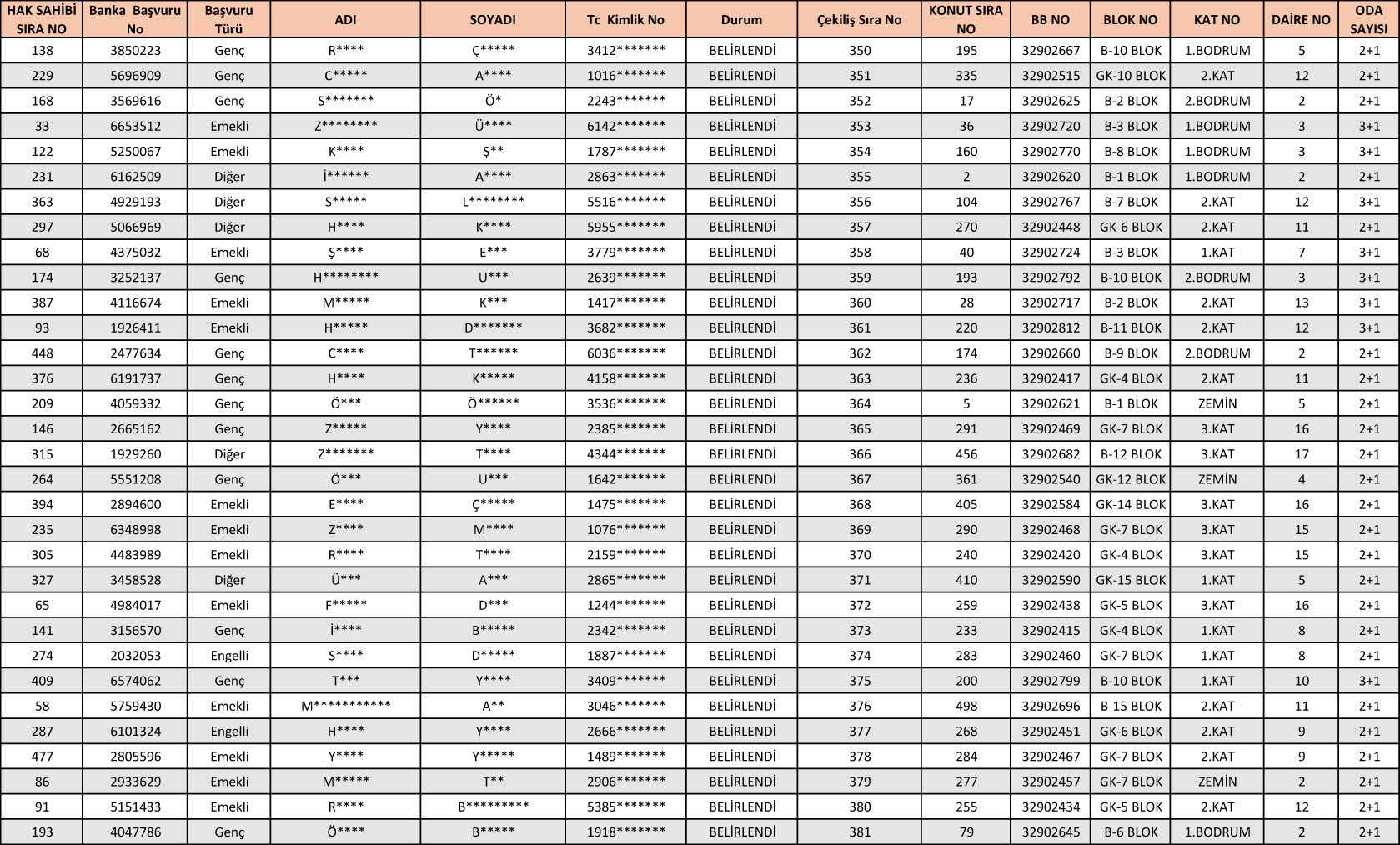
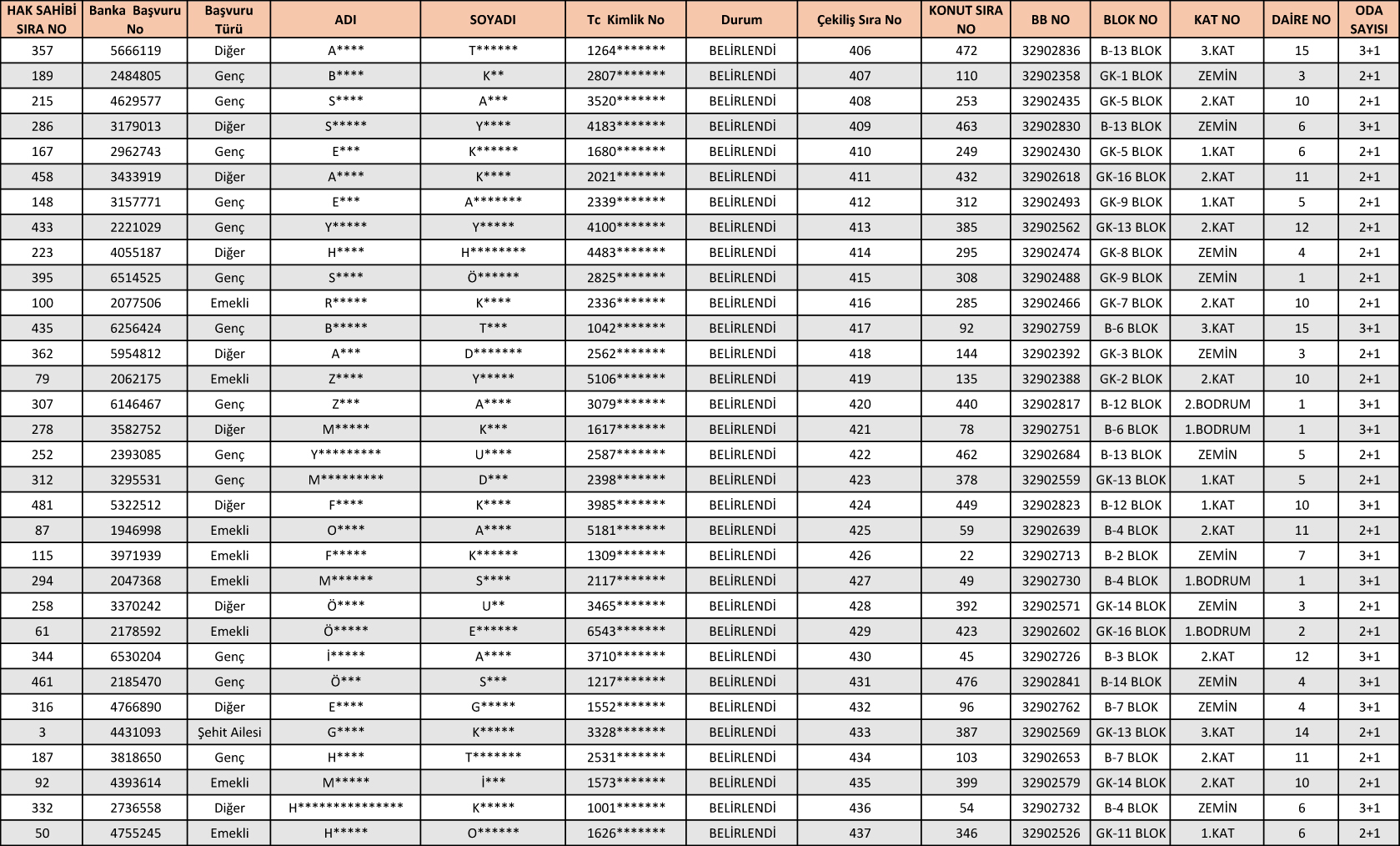
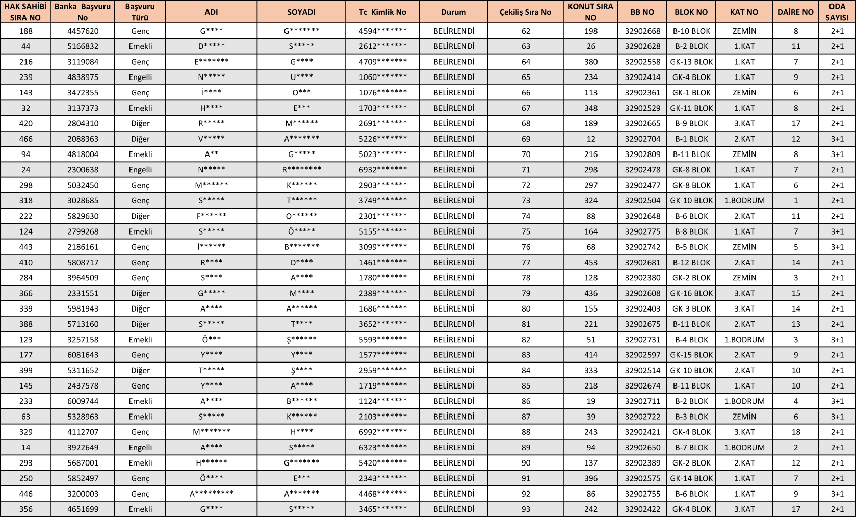
İşte kura sonuçları;
















